By David Bautz, PhD
NASDAQ:BCLI
Business Update
Phase 3 Trial of NurOwn® in ALS to Initiate in 2Q17
On December 19, 2016, BrainStorm (NASDAQ:BCLI) announced that the company had a successful End-of-Phase 2 meeting with the U.S. FDA in which the FDA accepted the key elements of the Phase 3 program for NurOwn® in amyotrophic lateral sclerosis (ALS). The planned Phase 3 clinical trial will be a randomized, double blind, placebo controlled, multi-dose trial that will take place at multiple centers in both the U.S. and Israel. We anticipate approximately 150 patients being enrolled in the trial randomized 1:1 to NurOwn® or placebo. Cells will be extracted from each patient one time prior to treatment, with all administrations of NurOwn® derived from the same extraction of cells. As in previous studies, there will be a 3-month run-in period prior to the first treatment with two additional NurOwn® treatments occurring two and four months following the first treatment. The company has not stated if there will be exclusion criteria for enrollment in the study based on how rapidly the disease is progressing. We anticipate the trial initiating in the second quarter of 2017.
The company recently announced that City of Hope’s Center for Biomedicine and Genetics would produce clinical supplies of NurOwn® for all U.S. medical centers involved in the Phase 3 study. In addition, the cryopreservation process has been validated, which involved a comparison of NurOwn® derived from fresh mesenchymal stem cells (MSCs) to NurOwn®derived from cryopreserved MSC. The results showed that MSCs stored in liquid nitrogen for prolonged periods of time continued to maintain their characteristics after thawing. This was an important milestone for the company as it will streamline the process of producing NurOwn®, will decrease the number of aspiration procedures for the patients taking part in the multi-dose Phase 3 study, and lower the cost of goods for NurOwn®.
Seeking Early Approval in Israel and Canada
On March 1, 2017, BrainStorm announced it signed a Memorandum of Understanding (MOU) with The Medical Research, Infrastructure, and Health Services Fund of the Tel Aviv Sourasky Medical Center (Ichilov Hospital) to explore the possibility of making NurOwn® available to ALS patients under the Hospital Exemption regulation. The MOU also covers the participation of Tel Aviv Sourasky Medical Center in the upcoming Phase 3 clinical trial.
The Hospital Exemption regulation is a recently approved regulatory pathway in Israel that allows for companies to partner with medical centers in Israel to allow for patients to receive benefit from custom-made, innovative, individual treatments where there is a critical unmet need and an absence of valid therapeutic alternatives. The company estimates that approximately 50 to 60 patients could potentially be treated at a time, with a team of neurologists deciding who will get treatment priority based on review of the patients’ medical files. The first patient could be treated under this program as early as the second half of 2017, and we anticipate learning more about this program, including how much the company could earn, later in 2017.
On February 21, 2017, BrainStorm announced the company has signed an agreement with CCRM, a Canadian not-for-profit that works with academic and industry partners to support the development of regenerative medicines with a specific focus on cell and gene therapy. As part of the collaboration, BrainStorm will work with CCRM to explore the opportunity to utilize Health Canada’s early access pathway for treatment of patients with ALS. If NurOwn® were to qualify for Health Canada’s “Notice of Compliance with Conditions” pathway, it could be authorized in Canada for distribution in early 2018. There are approximately 2,000 – 3,000 ALS patients in Canada (ALS Society of Canada), thus representing a meaningful opportunity for the company.
New Data Presented From Phase 2 NurOwn® Trial
On December 9, 2016, Dr. James Berry presented data from the Phase 2 clinical trial of NurOwn® in patients with amyotrophic lateral sclerosis (ALS) at the 27th International Symposium on ALS/MND. Dr. Berry was a Principal Investigator of that trial. Below we highlight some of the data, including increased levels of neurotrophic factors in the cerebrospinal fluid (CSF) of patients following NurOwn® treatment as well as statistically significant changes in the rate of disease progression in patients whose disease was rapidly progressing.
Increased Levels of Neurotrophic Factors in Patients Treated with NurOwn®
Treatment of patients in the Phase 2 trial involved intrathecal injection of NurOwn® cells. Analysis of the CSF was performed to analyze whether increased levels of neurotrophic factors could be detected, which would also indicate the cells retained biological activity following injection. The following graphs show that there was a significant increase in the levels of vascular endothelial growth factor (VEGF), hepatocyte growth factor (HGF), and leukemia inhibitor factor (LIF) in patients treated with NurOwn® following treatment with no change in the neurotrophic factors seen in placebo-treated patients.

In animal models of ALS, treatment with VEGF leads to improvements in motor function, protection of motor neurons, and increased survival (Zheng et al., 2004). Increased levels of HGF were shown to reduce motor neuron degeneration and increase survival in a mouse model of ALS (Sun et al., 2002). LIF was also shown to reduce motor neuron degeneration in a mouse model of ALS (Azari et al., 2001).
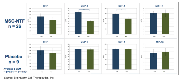
In addition to an increase in neurotrophic factors, there was also a statistically significant decrease in the inflammatory markers monocyte chemoattractant protein-1 (MCP-1) and stromal cell derived factor 1 (SDF-1). MCP-1 is produced by activated microglia (Sargsyan et al., 2009) and is known to be involved in various diseases of the central nervous system. MCP-1 was found to be significantly increased in serum and CSF of ALS patients. Blocking the interaction between SDF-1 (CXCL12) and its receptor (CXCR4) increases survival in a mouse model of ALS (Rabinovich-Nikitin et al., 2016). Furthermore there was also a statistically significant and meaningful inverse correlation between the increase in NTFs and the decrease in inflammatory factors. The decrease in MCP-1 correlated significantly with reduction in disease progression, suggesting a direct effect of the cells by a paracrine mechanism.

NurOwn® Effects Most Pronounced in Rapid Progressors
A predefined subgroup analysis was performed that excluded patients who were “slow progressors”, defined as ≤ two point decline in the ALSFRS-R from screening to baseline. The ALSFRS-R is a scoring system that measures gross motor tasks, fine motor tasks, bulbar functions, and respiratory functions to quantify the rate of ALS progression. The following graphs show that many more patients in the NurOwn® treatment group had a halt in decline or improvement in ALSFRS-R following treatment (≥100% improvement in rate of decline of ALSFRS-R), which was particularly evident when the slow progressors were excluded.

The following graph shows that patients treated with NurOwn® actually showed an average improvement in the change in ALSFRS-R of approximately three points at two weeks following treatment, with the average change in the rate of decline still positive all the way out to 24 weeks! This was for a group of patients that had an average decline of approximately -1.3 points in the pre-treatment period. For a terminal illness that is marked by steady decline for virtually all patients, these results are very encouraging.

We believe that the results presented by Dr. Berry show that NurOwn® cells are active following administration (as shown by an increase in neurotrophic factors and decrease in inflammatory factors in the CSF) and result in clinically meaningful changes in the course of the disease (as shown by the percentage of patients with ≥100% improvement in rate of decline of ALSFRS-R), particularly in those patients that were progressing most rapidly. Since these results were obtained with only one administration of NurOwn® we anticipate that multiple administrations of NurOwn® could extend the results seen for an even greater period of time.
Background on ALS
ALS is a rapidly progressing neurodegenerative disease whereby the nerve cells in the brain and spinal cord that control muscle movement degenerate. As the disease progresses, all patients will experience increased difficulty swallowing and speaking, with most patients not able to use their arms or legs. Eventually, patients in later stages of the disease may become completely paralyzed, which includes losing the ability to control their breathing. Patients typically do not live more than three to five years after being diagnosed with the disease, although there is considerable variability in disease progression from one patient to another. In the U.S., approximately 30,000 people are currently living with ALS.
The rate at which disease progression occurs is measured utilizing a scoring system called the “ALS Functional Rating Scale Revised” (ALSFRS-R; Cedarbaum et al., 1999). The ALSFRS-R measures gross motor tasks, fine motor tasks, bulbar functions, and respiratory functions through a scoring system consisting of a series of 12 questions on basic tasks (speech, salivation, swallowing, handwriting, cutting food, dressing and hygiene, turning in bed, walking, climbing stairs, dyspnea, orthopnea, and respiratory insufficiency) that are rated on a five-point scale where 0 = can’t do and 4 = normal ability. The individual items are summed to produce a score of between 0 = worst and 48 = best.
There are only a limited number of treatment options available for ALS patients, which are mostly designed to relieve symptoms and improve quality of life. Sanofi’s Riluzole® (rilutek) is the only treatment shown to improve survival, but only for two to three months, and it does not reverse nerve damage that has already occurred. Sales of Riluzole® peaked at around $50 million per year. It is now available as a generic.
NurOwn®
BrainStorm is developing adult stem cells therapies for the treatment of a range of neurodegenerative diseases. The company has a proprietary process for generating NurOwn® that involves harvesting and propagating autologous Mesenchymal Stem Cells (MSC) and then inducing their differentiation into neurotrophic factor (NTF) secreting cells, called MSC-NTF cells (NurOwn®). The cells are then returned to the patient at or near the target area of damage for treatment. Because these cells are autologous, there is virtually no risk of rejection. Furthermore MSCs are known to be safe and do not lead to tumor formation. Below is a graph showing the dramatic increase in various neurotrophic factors secreted by NurOwn® cells (red) compared to normal mesenchymal stem cells of the same donor/patient (blue).

BrainStorm previously conducted a Phase 1/2 and a Phase 2a clinical trial of NurOwn® both of which took place at Hadassah Medical Center between June 2011 and October 2014. All patients in the trials had a three-month run-in period, were treated with NurOwn® and then evaluated during a six-month follow-up time. The Phase 1/2 trial consisted of 12 patients (six patients received NurOwn® intramuscularly (IM) while six patients received NurOwn® intrathecally (IT)) and the study met its primary endpoints of safety and tolerability, with no treatment-related adverse events reported. The Phase 2a study consisted of 14 patients that received both IM and IT injections of NurOwn® The results from these studies were published in January 2016 in the journal JAMA Neurology and discussed in a previous Seeking Alpha article.
Phase 2 Study of NurOwn®
BrainStorm conducted a randomized, double blind, placebo controlled Phase 2 clinical trial to evaluate the safety and efficacy of a single dose of NurOwn® in early-stage ALS patients (NCT02017912). The trial took place at three medical centers in the U.S. (Massachusetts General Hospital (MGH), University of Massachusetts Memorial Hospital, and the Mayo Clinic) and enrolled 48 patients randomized 3:1 to receive either NurOwn® cells (n=36) or placebo (n=12).
Just as with the company’s Phase 2a trial, there was a three-month run-in (to determine the rate of decline in ALSFRS-R prior to treatment), followed by treatment and a six-month follow up. Patients were evaluated at two, four, eight, twelve, sixteen, and twenty-four weeks after treatment. The primary endpoint of the study was safety based on the number of patients with adverse events, with secondary efficacy endpoints including the change in ALSFRS-R.
Along with showing NurOwn® was safe and well tolerated, the study also achieved a number of secondary efficacy endpoints. The results presented by BrainStorm are in the context of a 2010 survey of ALS clinicians and researchers that showed all participants felt a 25% change in decline of the ALSFRS-R score would be at least somewhat clinically meaningful, and 93% of participants felt a 50% change in the decline of the ALSFRS-R score would be very clinically meaningful (Castrillo-Viguera et al., 2010).
Corporate Updates
On March 6, 2017, BrainStorm announced the appointment of Ralph Kern, MD as the new Chief Operating Officer and Chief Medical Officer. Dr. Kern joined BrainStrom from Biogen, where he was Senior Vice President and Head of Worldwide Medical. At Biogen, he helped define the company’s therapeutic area and medical/scientific strategies for Alzheimer’s diease, multiple sclerosis, spinal muscular atrophy, Parkinson’s disease, neuro-degeneration, and hemophilia. Prior to Biogen, Dr. Kern was Head of Neuroscience Medical Unit at Novartis, where he developed and directed strategy, budget, and advanced medical-commercial governance models for neuroscience. Dr. Kern is a very important hire for BrainStorm, as he has a wealth of program management skills and medical expertise that will be invaluable as the company moves NurOwn® into Phase 3 testing.
On February 27, 2017, BrainStorm announced the appointments of June Almenoff, MD, PhD, and Arturo Araya to its Board of Directors. Dr. Almenoff was previously President and CMO of Furiex Pharmaceuticals, which was acquired for approximately $1.2 billion by Actavis plc. Mr. Araya was formerly the Vice President and Head of Global Commercial for Novartis’ Cell and Gene Therapies Unit, where he led a team to globally commercialize a portfolio of cell and gene therapies. Both Dr. Almenoff and Mr. Araya will add valuable insight for the company as it prepares to launch the Phase 3 study of NurOwn®.
Financial Update
On March 30, 2017, BrainStorm announced financial results for the fourth quarter and full year 2016. As expected, the company did not report any revenues for the quarter or the year. Net loss for the fourth quarter of 2016 was $0.6 million, or $0.03 per share, and was comprised of $0.3 million in R&D expenses and $0.3 million in G&A expenses. For the full year 2016, the company reported a net loss of $5.0 million, or $0.27 per share, and was comprised of $2.3 million in R&D expenses and $2.8 million in G&A expenses. The company currently has approximately $10 million in cash, cash equivalents, and short-term deposits, which we estimate will be sufficient to fund operations for at least the next 12 months.
As of March 24, 2017, the company had approximately 18.7 million shares outstanding. In addition, there were 0.88 million stock options and 6.4 million warrants for a fully diluted share count of 25.9 million. The warrants have a wide range of exercise prices, however the 3.86 million warrants issued in connection with the raise in January 2016 have an exercise price of $6.50, an expiration date of June 2018, and could potentially bring in gross proceeds of $25 million to the company.
Conclusion
We are excited for the Phase 3 multi-dose study of NurOwn® to get underway, as we believe the previous results reported by the company point to the potential for greater efficacy with repeated doses of the drug. Perhaps the most encouraging data reported thus far has to do with the cohort of patients whose disease was progressing the fastest in the pre-treatment period, as these are the patients most in need of an effective treatment and who appeared to respond best to NurOwn®treatment. However, we do not know whether the company will restrict the upcoming Phase 3 study to only those patients who are progressing most rapidly, as that would then likely result in a restriction to the label for NurOwn® upon approval. We anticipate learning more about the final trial design once it gets closer to initiating.
From a valuation standpoint, we continue to believe BrainStorm’s shares remain highly attractive, particularly from a comparison standpoint with the recent announcement that Bayer and Versant Ventures were seeding a new startup, BlueRock Therapeutics, with $225 million to develop best-in-class induced pluripotent stem cell (iPSC) therapies. The initial focus of the company will be CNS and cardiovascular disease areas. This deal indicates that cell-based therapies are highly sought after by larger pharmaceutical companies, and makes BrainStorm’s current market cap of approximately $75 million look perplexingly low, especially since NurOwn® is ready to enter Phase 3.
Before becoming generic, Riluzole® cost $50,000 per year and was shown to only extend survival of ALS patients by two to three months. The results previously reported by the company indicate that NurOwn® may be able to slow down the progression of ALS, and for some patients it may even lead to disease stabilization. Multiple doses of NurOwn® could increase these effects. As such, we currently model for NurOwn™ to cost $100,000 per year. However, once we learn more about the Hospital Exemption, particularly how much the treatment costs under this program, we may modify our pricing assumptions. We continue to believe that upon approval NurOwn® could generate peak revenues of over $1 billion. Our current valuation for BrainStorm is $13 per share.
READ THE FULL RESEARCH REPORT HERE
SUBSCRIBE TO ZACKS SMALL CAP RESEARCH to receive our articles and reports emailed directly to you each morning. Please visit our website for additional information on Zacks SCR and to view our disclaimer.