View all news

EPIX: Clinical Data for EPI-7386 in 2021…

12/17/2020

By David Bautz, PhD

NASDAQ:EPIX

READ THE FULL EPIX RESEARCH REPORT

Business Update

ESSA Pharma Inc (NASDAQ:EPIX) is developing EPI-7386 as a treatment for prostate cancer. It is a member of a novel class of compounds known as ‘anitens’, which specifically target the androgen receptor (AR). The AR is the main signaling mechanism driving the growth of prostate tumors. Anitens bind the AR at the N-terminal domain (NTD), which is unique compared to other available anti-androgen therapies that target the ligand binding domain (LBD). The following graphic shows where anitens bind on the AR compared to currently available anti-AR therapies, which fully differentiates anitens from other prostate cancer therapies that target the AR.

Phase 1 Clinical Data for EPI-7386 in 2021

ESSA is currently conducting a Phase 1 clinical trial of EPI-7386 in patients with metastatic castration resistant prostate cancer (mCRPC) that have failed standard of care treatments, including second generation anti-androgens (NCT04421222). We anticipate the trial enrolling approximately 18 patients to evaluate the safety, pharmacokinetics, and maximum-tolerated dose of the compound in multiple-dose escalations. It will encompass a standard 3+3 trial design (three patients enrolled per dose cohort) with an estimated 10 patients being enrolled in the dose expansion cohort, once the recommended Phase 2 dose is established. The initial dose will be 200 mg, followed by 400 mg, 600 mg, 800 mg, and 1000 mg.

The primary objective of the dose escalation portion is to establish the safety and efficacy of EPI-7386 with the secondary objective being to determine the maximum tolerated dose and the recommended Phase 2 dose. In the dose expansion portion of the trial, the primary objective will be to further evaluate the safety, tolerability, and preliminary anti-tumor activity of the recommended Phase 2 dose.

While the COVID-19 pandemic has presented its challenges, the company has been able to keep the trial open and enrolling patients. We anticipate that initial pharmacokinetic data could be presented as ASCO GU in February 2021, with additional data presented at AACR in April 2021 and potentially some initial efficacy data at ASCO in June 2021.

Thinking about longer-term development of the drug, the company is also planning to initiate multiple combination trials with EPI-7386 and different anti-androgen therapies (enzalutamide, apalutamide, darolutamide, etc.) in mCRPC patients due to the robust preclinical data showing increased activity with combination therapy. These trials would likely not get underway until mid-2021, but could greatly expand the potential market opportunity and help to position the drug as an earlier-line therapy. We estimate that the company is fully financed to conduct these trials (the dose escalation trial, the dose expansion trial, and multiple combination trials).

Summary of Pre-Clinical Data for EPI-7386

During 2020, ESSA presented multiple posters on EPI-7386 that showed robust activity of the compound in pre-clinical models along with a thorough investigation into its effect on binding to the androgen receptor (AR), gene expression, and various pharmacokinetic parameters. A summary of the data presented over the past year is given below.

Activity against AR-V7 in in vitro models: The following chart shows the results of an AR activity assay in which PSA is coupled to a luciferase reporter and tested against enzalutamide, EPI-002 (first-generation aniten compound), and next-generation aniten compounds including EPI-7386. The assay was performed using the AR splice variant AR-V7, which shows androgen-independent activity (green bars), and using a combination of AR-V7 and full-length AR (using R1881, a synthetic AR agonist). The results show that EPI-7386 inhibits the activity of both full-length AR and the AR-V7 splice variant. This is in contrast to enzalutamide, which only shows activity against the full-length AR (red bars) but not against AR-V7, where activity is similar to that seen with only vehicle (DMSO) present.

Similar activity to enzalutamide in LNCaP xenograft models: The following graph shows the activity of both EPI-7386 and enzalutamide in an LNCaP xenograft model, which is driven by a full-length AR. Both drugs similarly inhibit the growth of the tumor in that model.

Enhanced activity in VCaP xenograft model: The VCaP model is initially driven by full-length AR but is then followed by AR-V7-driven growth. The following graph shows that EPI-7386 shows significant and sustained antitumor activity in this model, while enzalutamide treated tumors show resistance to treatment after day 24. Interestingly, the combination of EPI-7386 and enzalutamide shows even greater activity than either drug on its own.

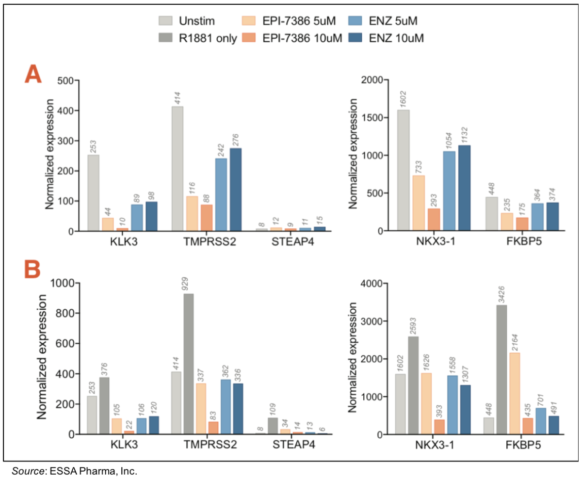
Alters gene expression of AR-regulated genes: The following figure shows gene expression levels for various AR-regulated genes in 22Rv1 cells, which express both full length AR and AR-V7. Expression levels are shown in the absence of R1881 (Panel A) or presence of R1881 (Panel B). For each of the genes, expression is lowest in the presence of 10 μM EPI-7386.

EPI-7386 combination treatment exhibits unique gene expression profile: The following figure shows gene expression data for VCaP cells in the presence of EPI-7386, enzalutamide, EPI-7386+’lutamide (enzalutamide, apalutamide, darolutamide), or vehicle all in the presence of R1881. The heat map from RNAseq analysis shows the expression of R1881-responsive genes across the various conditions. Interestingly, combination treatment of EPI-7386 with a ‘lutamide results in a unique gene expression profile compared with either compound on its own.

An examination of canonical AR-regulated genes shows the activity of a suboptimal dose of EPI-7386 (10μM) in combination with ‘lutamides, again showing that combination treatment has a greater effect than either compound on its own.

Pharmacokinetic data shows clinically relevant dose may be reached quickly in Phase 1 trial: The following figure on the left shows the representative activity of EPI-7386 in a VCaP xenograft model, where 10 mg/kg EPI-7386 shows tumor growth inhibition while 30 mg/kg EPI-7386 shows tumor shrinkage. The table on the right shows representative pharmacokinetic (PK) data for different concentrations of EPI-7386 in different strains of mice.

Considering the PK parameters above in regards to efficacy in the xenograft models, the toxicology data shows that there is likely to be a very wide margin for safety in dosing EPI-7386. The dog toxicology data in the following table shows that a dose that is well-tolerated and below the highest non-severe toxic dose (HNSTD) results in an AUC value of 1,350,000 ng*h/mL. Comparing this to the data above shows that an efficacious dose in mice had an AUC of 220,000 – 534,000 ng*h/mL, two- to five-fold lower than the HNSTD.

Lastly, the following table gives PK estimates for different doses of EPI-7386 in humans based on in vitro-in vivo correlation. A dose of 200 mg (the starting dose in the ongoing Phase 1 trial) is predicted to result in an AUC of 137,278 ng*hr/mL while a dose of 400 mg is estimated to result in an AUC of 274,556 ng*hr/mL, which is very close to the AUC for the efficacious dose in the mouse xenograft model and well below the HNSTD. This data gives us confidence that EPI-7386 will be safe and well tolerated and could lead to discovery of the recommended Phase 2 dose in a relatively short period of time.

EPI-7386 binds directly to the AR and AR-V7: The cellular thermal shift assay (CETSA) is designed to show direct binding of a compound to a target protein through alteration of the protein’s melting temperature (Molina et al., 2013). As the temperature is raised, proteins begin to denature and fall out of solution, thus when analyzed by Western blot a decrease in the amount of protein is seen. When a compound directly binds to a protein, its melting profile changes as evidenced by a change in the amount of protein detected by Western blot. This change can either be an increase or decrease, depending on whether the compound increases or decreases the thermal stability of the protein. The following figures show that EPI-7386 decreases the thermal stability of the AR as shown by a decrease in the amount of protein seen by Western blot in the “+” lanes. The same phenomenon is seen for AR-V7, indicating that EPI-7386 can bind to both full length AR and the truncated AR-V7.

Financial Update

On December 15, 2020, ESSA announced financial results for fiscal year 2020 that ended September 30, 2020. The company reported a net loss of $23.4 million, or $1.04 per share, for fiscal year (FY) 2020 compared to a net loss of $12.8 million, or $1.51 per share, for FY 2019. The net loss for FY 2020 included non-cash share-based payments of $7.5 million compared to $1.1 million for FY 2019. R&D expenses for FY 2020 were $12.1 million compared to $6.7 million for FY 2019. The increase was primarily due to preclinical work for EPI-7386 along with increased expenses for chemistry and manufacturing of drug product and Phase 1 clinical costs. G&A expenses for FY 2020 were $11.4 million compared to $5.5 million for FY 2019. The increase was primarily due to increased professional fees, higher salaries, and non-cash share-based payments.

As of September 30, 2020, ESSA had approximately $78.3 million in cash, cash equivalents, and short-term investments. As of December 15, 2020, ESSA had approximately 33.6 million shares outstanding, and when factoring in stocks options and warrants the company has a fully diluted share count of approximately 48.0 million.

Valuation

ESSA is shaping up to have a potentially transformative 2021. We are eagerly anticipating data from the ongoing Phase 1 clinical trial of EPI-7386 in mCRPC patients, with initial PK data possibly being presented in February 2021 and efficacy data in either the spring or summer of 2021. In addition, the company is also in the planning stages for combination trials of EPI-7386 and currently available anti-androgens, which will likely involve testing in earlier-stage patients. With no changes to our model, our valuation remains at $16.50.

SUBSCRIBE TO ZACKS SMALL CAP RESEARCH to receive our articles and reports emailed directly to you each morning. Please visit our website for additional information on Zacks SCR. 

DISCLOSURE: Zacks SCR has received compensation from the issuer directly, from an investment manager, or from an investor relations consulting firm, engaged by the issuer, for providing research coverage for a period of no less than one year. Research articles, as seen here, are part of the service Zacks provides and Zacks receives quarterly payments totaling a maximum fee of $40,000 annually for these services. Full Disclaimer HERE.

Multimedia Files:

Categories: Press Releases
View all news